2023平安福耀人生年金险(分红型)怎么样?领多少钱?费率表
2023平安福耀人生年金保险(分红型)怎么样?平安人寿推出2023年金保险——福耀人生年金保险(分红型),约定时间可领取生存金、特别生存金、生日关爱金,三金助力养老!
一、2023平安福耀人生年金保险(分红型)适合谁?投保规则
投保年龄:出生满28天-70周岁
保险期间:终身
缴费方式:趸交、3年交、5年交、10年交

图片来源于摄图网
二、2023平安福耀人生年金保险(分红型)怎么样?条款解析
生存保险金:
自主险合同第5个保单周年日开始,每年到达保单周年日被保险人仍生存,按主险合同基本保险金额的20%给付生存保险金。
特别生存保险金:
自主险合同生效之日起,到达第5个及第6个保单周年日被保险人仍生存,在第5个及第6个保单周年日按主险合同基本保险金额的200%给付特别生存保险金。
生日关爱金:
自主险合同第5个保单周年日开始,被保险人每年到达生日仍生存,按主险合同基本保险金额的20%给付生日关爱金。
身故保险金:
被保险人身故,按所交保险费、现金价值的较大值给付身故保险金,主险合同终止。
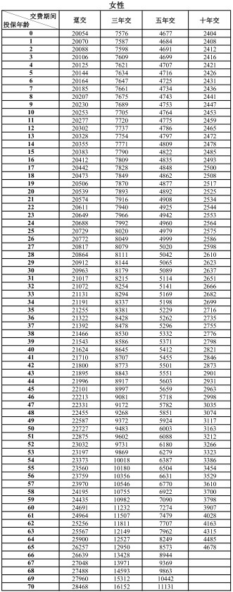
三、2023平安福耀人生年金保险(分红型)多少钱一年?费率表
男性费率表:

女性费率表:


四、2023平安福耀人生年金保险(分红型)3年交领多少钱?收益高吗
周女士,30周岁,有一定经济基础,选择购买2万元基本保险金额的平安福耀人生年金保险(分红型);周女士选择3年交费,年交163580元,合计保险费490740元。主要保单年度保单利益测算如下:

注:
该利益演示是基于保险公司精算及其他假设,不代表保险公司的历史经营业绩,也不代表对保险公司未来经营业绩的预期,红利分配是不保证的,在某些年度红利可能为零。红利分配方式为现金红利,保险公司提供累积生息、抵交保险费以及购买交清增额保险三种红利领取方式。实际分红情况以保险公司实际经营状况为准。
如果您对平安福耀人生年金保险(分红型)感兴趣,或者想要了解其他产品,都可以在本页面在线留下您的联系方式,会有客服小姐姐为您提供免费咨询服务!
| 留言与评论(共有 条评论) |